Similar to This
Previous
India’s tea, rice exporters face fresh headwinds as Trump now targets Iran trade: New US tariffs: Official data shows that India and Iran have a direct bilateral ...
indianexpress.com/article/explained/explained-economics/india-tea-rice-exporters-trump-iran-10470831/

EU-Mercosur mega trade deal: 25 years in the making: Despite opposition from France and Ireland among others, the ‘significant’ trade deal with the South ...
theweek.com/politics/eu-mercosur-mega-trade-deal-25-years-in-the-making

Why Trump’s Russia sanctions Bill could effectively end India’s exports to US: The successful passage of the bill could hurt India’s interests the most ...
indianexpress.com/article/explained/explained-economics/trump-russia-sanctions-bill-india-10462759/

Vietnam’s Economy Grew By More Than 8 Percent in 2025, Government Says: The country also posted its highest-ever annual trade surplus with Washington ...
thediplomat.com/2026/01/vietnams-economy-grew-by-more-than-8-percent-in-2025-government-says/
Quebec's economy remains resilient after a year of Trump, tariffs and uncertainty
montrealgazette.com/business/quebecs-economy-after-a-year-of-trump-tariffs-and-uncertainty

Rachel Reeves says Britain’s trade ties with EU ‘even more important’ than US: Chancellor’s comments come as UK balances trade talks with both regions
ft.com/content/7a5ae30b-5e46-43e4-8a26-bdd35e71362c

Donald Trump Could Struggle to Force Europe's Hand on China: Amid deteriorating relations between the US and China, Trump won't be able force the EU to choose ...
newsweek.com/us-china-relations-europe-2060288

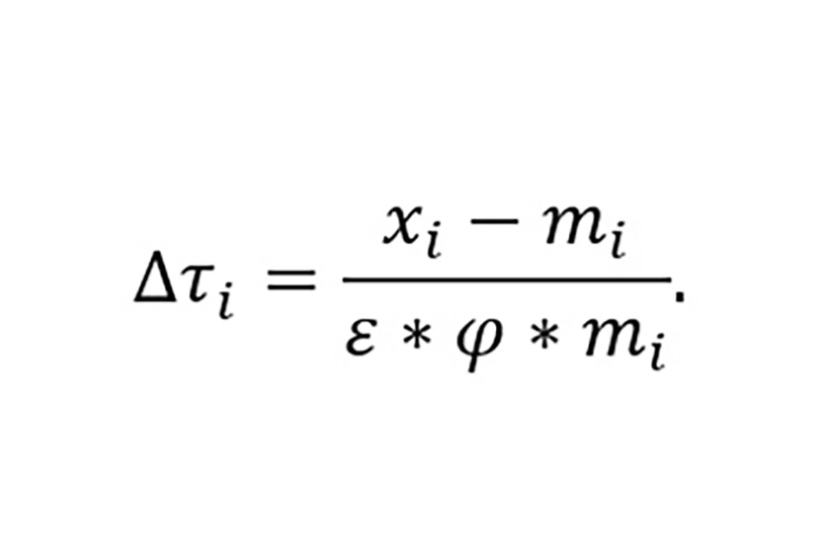
This Is the Formula Trump's Team Used to Calculate Reciprocal Trade Tariffs: President Donald Trump’s administration calculated its raft of new tariffs ...
bloomberg.com/news/articles/2025-04-03/trump-s-reciprocal-tariff-formula-is-all-about-trade-deficits

Paid articlePaywallEU Council President urges faster trade deals with India amid US tariffs: EU-India Agreement: European Council President Antonio Costa voiced full support for ...
business-standard.com/world-news/eu-trade-deals-india-us-tariffs-costa-125040301004_1.html
Trump’s deal with Putin faces European reality check: Top leaders meeting in Paris want to show the U.S. and Russia can’t carve up the continent by cutting out ...
politico.eu/article/donald-trump-deal-vladimir-putin-russia-war-in-ukraine-eu-summit-paris/

UK Splits With Europe by Avoiding Snap Retaliation to US Tariffs: The UK reaffirmed its commitment to US trade talks as British exports were swept up in ...
bloomberg.com/news/articles/2025-03-12/uk-splits-with-europe-by-avoiding-snap-retaliation-to-us-tariffs

Paid articlePaywallChina trade surge poses challenge for Trump's South America influence: Argentina's libertarian President Javier Milei came to office in late 2023 slamming China ...
reuters.com/world/chinas-trade-dominance-south-america-tempers-trumps-influence-2025-03-03/

Trump’s America First, an opening for Indian farms: His threat of reciprocal tariffs could be a chance to transition from protectionism to a productivity-driven ...
indianexpress.com/article/opinion/columns/trumps-america-first-an-opening-for-indian-farms-9864967/

Europe’s Wine, Irish Butter Sellers Rush to US to Avoid Trump Tariffs: French wines and Irish butter are being shipped to the US in ever-higher volumes as the ...
bloomberg.com/news/articles/2025-02-13/europe-s-wine-butter-sellers-rush-to-us-to-avoid-trump-tariffs

Paid articlePaywallDavos: Lagarde sees ECB on course for lower interest rates: The World Economic Forum in Davos is also an important stage for central bankers ...
handelsblatt.com/finanzen/geldpolitik/davos-lagarde-sieht-ezb-auf-kurs-zu-niedrigeren-zinsen/100100574.html

Von der Leyen signals EU willingness to work with US in Davos speech: The European Union wants to engage and negotiate with US President Donald Trump ...
ekathimerini.com/economy/1259253/von-der-leyen-signals-eu-willingness-to-work-with-us-in-davos-speech/

Japan records a trade deficit in October for a 4th straight month, despite export recovery
apnews.com/article/japan-economy-trade-imports-exports-energy-d186be06dcf195a2a4a05abd551c8a33
The Grand Strategy Behind China’s Rise: Insights from Zeno Leoni.
thediplomat.com/2024/11/the-grand-strategy-behind-chinas-rise/

Next